[Turku PET Centre] [PET data analysis] [Main page] [Previous page] [Next page]

Logan plot


The linear models developed by Logan et al. [Logan 2000] have become a standard calculation method for receptor-ligand studies, like the Gjedde-Patlak plot has been in the metabolism studies. Logan plots are used to calculate the distribution volume of ligand tracers that have a reversible binding kinetics. If a receptor-free region exists, a distribution volume ratio can be calculated.

The distribution volume (DV) in a case of reversible binding is

 

In a receptor-free tissue (i.e. reference region) DV=K1/k2. The distribution volume ratio of receptor containing and receptor free regions is

 

, assuming that K1/k2 is equal in both regions. The DVR has more applications, since it correlates with the concentration of available receptors (binding potential BP) and is not dependent on the non-specific binding in tissue or binding to plasma proteins, like DV is.

Distribution volume

If the metabolite corrected plasma data is available the DVs can be calculated as described above from the region of interest and from reference region and then calculate the ratio DVR [Logan et al. 1990].

If metabolite corrected plasma curves are not available, the plasma curve can be replaced with reference region curve Cr(t). Then the slope of the linear phace is DVR [Logan et al. 1996]:


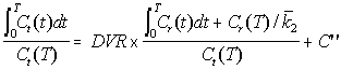
However, a prerequisite for this is that the ratio Ct(t)/Cr(t) stays stable enough. The higher the receptor density, the longer this equilibriation period will take. If this presumption is not met, an estimate of k2 for reference region (e.g. population average) must be somehow determined and included in the calculation [Logan et al. 1996]:


pic/logan_refreg.gif (12356 bytes)

Logan plot can easily be used to produce parametric DV or DVR images and it can be calculated at the sinogram level.

pic/logan_summary.gif (10289 bytes)

Logan J, Fowler JS, Volkow ND, Wolf AP, Dewey SL, Schlyer DJ, MacGregor RR, Hitzemann R, Bendriem B, Gatley SJ, Christman DR. Graphical analysis of reversible radioligand binding from time-activity measurements applied to [N-11C-methyl]-(-)-cocaine PET studies in human subjects. J Cereb Blood Flow Metab 1990; 10: 740-747.

Logan J, Fowler JS, Volkow ND, Wang GJ, Ding YS, Alexoff DL. Distribution volume ratios without blood sampling from graphical analysis of PET data. J Cereb Blood Flow Metab. 1996; 16: 834-840.

Logan J. Graphical analysis of PET data applied to reversible and irreversible tracers. Nucl Med Biol 2000; 27:661-670.