This page is obsolete: please read the new version.

Fitting the fractions of parent tracer in plasma

Why to fit the fraction curves?

The chromatographic methods used in the metabolite analysis are slow, and hampered by the fast decay of radioactivity, especially with C-11 labeled tracers. The fractions can often be determined only from sparse samples withincreased uncertainty with time. Fitting of a mathematical function to the fraction curves may be required to achieve an acceptable metabolite correction. Fitted fractions can be applied in the metabolite correction using metabcor as usual.

How to fit the fraction curves?

Functions

Different functions can be applied to different tracers. For most tracers fitting the "Hill type" (sigmoidial) function can be recommended: in practise, the curves of unchanged tracer fractions often do show a sigmoid shape, and could not be described by declining exponential functions. This may be caused by slow injection of tracer, or a redistribution phase of tracer from an initial deposition to a highly perfused tissue, e.g. lungs (Suhara et al., 1998). Hill function may even work better than compartment model (Wu et al., 2007).

Fraction of authentic [11C]flumazenil in plasma Total and authentic [11C]flumazenil concentration in plasma

Figures 1 and 2. "Hill type" function fitted to the measured fractions of authentic [11C]flumazenil in plasma; total plasma radioactivity concentration (black), and concentration of authentic [11C]flumazenil (red), calculated by multiplying each total plasma concentration by value of function at each sample time.

Hill function

Hill-type function for parent tracer fractions is:
Hill function for fractions of authentic tracer in plasma

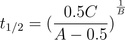
Time when half of isotope label carrying compounds in plasma are metabolites (t½) can then be calculated from equation:
Half-time for fractions of authentic tracer in plasma

Unchanged (parent) tracer fraction curves can be fitted with fit_hill. Both parent fractions and two metabolite fractions can be fitted simultaneously with fith2met, assuming that the a single Hill function shape can fit all the fractions.

Sum of exponentials

However, if declining exponential functions are preferred, they can be fitted to the fraction curves using fit_fexp; this function has for example been used for [11C]PK11195 (Kropholler et al., 2005).

Other functions

For certain tracers, the fraction of unmetabolized parent tracer in plasma is not approaching 1.0 at the injection time, but may even be increasing during the first few minutes of the study. This has been shown for a tracer ([11C]DASB) binding to 5-HT transporters, possibly caused by transient trapping of parent tracer in the lungs, while the radioactive metabolite has no affinity for the 5-HT transporter (Parsey et al., 2006). A power-function-damped 2-exponential function was shown to fit the metabolite data better improve test-retest reproducibility (Parsey et al., 2006).

Another possible function for parent tracer fraction have been proposed by Watabe et al. (2000) and extensions to it by Meyer et al. (2004) and Hinz et al. (2007). The two first functions can be fitted to parent fractions using fit_ppf.

Function parameters

Function parameters are saved into specific fit file format, which are ASCII text files.

Program fit2dat can be used to calculate the fitted fraction curve for other purposes, e.g. for drawing graphs.

Population average of fractions

If the fractions of unchanged tracer in plasma or blood are very variable or measurements are missing for a few subjects, then a population based method should be considered.



References:

Hinz R, Bhagwagar Z, Cowen PJ, Cunningham VJ, Grasby PM. Validation of a tracer kinetic model for the quantification of 5-HT2A receptors in human brain with [11C]MDL 100,907. J Cereb Blood Flow Metab 2007; 27: 161-172.

Kropholler MA, Boellaard R, Schuitemaker A, van Berckel BNM, Luurtsema G, Windhorst AD, Lammertsma AA. Development of a tracer kinetic plasma input model for (R)-[11C]PK11195 brain studies. J Cereb Blood Flow Metab 2005; 25(7): 842-851.

Meyer PT, Bier D, Holschbach MH, Boy C, Olsson RA, Coenen HH, Zilles K, Bauer A. Quantification of cerebral A1 adenosine receptors in humans using [18F]CPFPX and PET. J Cereb Blood Flow Metab. 2004; 24(3): 323-333.

Parsey RV, Ojha A, Ogden RT, Erlandsson K, Kumar D, Landgrebe M, Van Heertum R, Mann JJ. Metabolite considerations in the in vivo quantification of serotonin transporters using 11C-DASB and PET in humans. J Nucl Med 2006; 47: 1796-1802.

Suhara T, Sudo Y, Yoshida K, Okubo Y, Fukuda H, Obata T, Yoshikawa K, Suzuki K, Sasaki Y. Lungs as reservoir for antidepressants in pharmacokinetic drug interactions. Lancet 1998; 351: 332-335.

Watabe H, Channing MA, Der MG, Adams HR, Jagoda E, Herscovitch P, Eckelman WC, Carson RE. Kinetic analysis of the 5-HT2A ligand ([11C]MDL 100,907. J Cereb Blood Flow Metab 2000; 20: 899-909.

Wu S, Ogden RT, Mann JJ, Parsey RV. Optimal metabolite curve fitting for kinetic modeling of 11C-WAY-100635. J Nucl Med 2007; 48: 926-931.



Valid XHTML 1.0 Strict Valid CSS!